设为首页 收藏本站 切换语言 切换语言

【一款可以实现稳定盈利的EA】顺势均线加仓,反向锁仓盈利全平是一款可以实现稳定盈利的EA  热门

| 发表于 2022-6-5 14:49:10 | 显示全部楼层 |复制链接

世界上没有百分百的事情,智能交易系统亦是如此,任何稳定都是基于一个合理的前提,你拿100万投资年化收益1%这样的稳定其实是无意义的。反过来你拿100万投资想年化收益100%这样的投资首先你就要考虑到自身能承受的风险有多打,也就是你的期望收益越高可能危险性就越高。只有符合正常的逻辑才是稳定的核心。

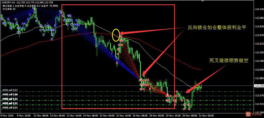
  顺势均线加仓反向锁仓盈利全平是一款可以实现稳定盈利的EA,趋势EA的难度在于趋势反转后会造成极大的损失。本EA采用的是正向加仓策略,就是双均线为基础均线金叉只做多不多空,达到盈利启动保护利润和回调全平策略。一旦金叉变成了死叉意味着可能趋势的反转,本EA会按多单总手数倍数一次性下一大单让趋势倾向于做空,并且按条件顺势加空直到达到盈利启动保护。

c4082521150e509d0a44d9f6bbb7bb77.jpg

  本EA在金叉变成死叉如果当时亏损不大(我们设置的反向亏损金额),那么EA会直接全部平仓然后重新开始顺势做空。

  本EA可以单独做均线趋势均线反向交叉不锁仓,也可以均线顺势不加仓,可谓是一款百变智能EA合理使用会有不错的效果,目前很多资管公司都在使用我们的这款产品。任何EA都有一定的风险祝大家交易顺利多多赚美金!

  EA主要参数和工作原理:

64be2ebf04c7cd1863e1e86b8c5b01bd.jpg

EA参数:

  首单手数(0.2)手

  第1次加仓手数(0.01)

  第2次加仓手数(0.02)

  第3次加仓手数(0.03)

  第4次加仓手数(0.04)

  第5次加仓手数(0.05)

  第6次加仓手数(0.06)

  第7次加仓手数(0.07)

  第8次加仓手数(0.08)

  第9次加仓手数(0.09)

  每次均线交叉最多加仓次数(10)次

  加仓间隔(10)点

  锁单倍数(1.5)倍 多空净手数的倍数

  锁单次数(3)到达锁仓次数全平;0为不锁单反向强平

  均线反向交叉亏损小于(-30)美金不锁仓全平

  短周期均线(21)

  长周期均线(55)

  价格距离短周期均线大于(50)点获利平仓后不在下单

  价格回调到短周期均线(10)点重新开始下单

  均线交叉后超过(100)点持仓单获利平仓后不在下单 直到出现反向交叉开始做单

  获利(50)美金启动保护

  回调(10)美金全平

  最大亏损(1000)美金全平

  多空总手数大于(20)手浮动亏损小于(200)美金全平

做多说明:

  均线金叉并且价格距离短周期均线小于(50)点开多0.2手,然后间隔10点顺势或逆势加仓0.01手,然后在最新单入场后点位计算继续顺势或逆势间隔10点继续加仓0.01手。价格低于小周期均线之下不加仓。直到达到获利条件全平,然后重新按条件开单

  当均线死叉后,此时如果有多单未出场,那么一次性按净多单的(1.5)倍锁上空单,然后间隔10点做0.02手空单,直到整体获利全平然后在重新开始

  做空:同做多.....

65d0e854efb870b57d12495d737453f5.jpg

1e14d492efb383ad691fc4ffd159353d.jpg

  建议:本EA建议用在1小时图以上图表中,为避免均线频繁交叉建议均线参数设置合理,均线可以设置不同类型满足不同均线的使用。

da13adfa14955b1072b5c3973ddba5a5.jpg

filetype

c5fcc0a916c7ef71414543183c590ecd.rar

53.75 KB, 下载次数: 31, 下载积分: 活跃度 -5 售价: 6 H币  [记录]  [下载]

评分
  • 1
  • 2
  • 3
  • 4
  • 5
平均分:5    参与人数:1    我的评分:未评 下载时遇到问题?
如果有帮助,就支持一下我呗
举报

评论 使用道具

精彩评论72

kkmjdh
DD
| 发表于 2022-6-5 22:48:14 | 显示全部楼层
不错,看看
举报

点赞 评论 使用道具

A137435456
DD
| 发表于 2022-6-6 09:33:23 | 显示全部楼层
感觉还可以 试试看
举报

点赞 评论 使用道具

木头8500
C
| 发表于 2022-6-6 12:38:30 | 显示全部楼层
谢谢分享
举报

点赞 评论 使用道具

feng3001
CCC
| 发表于 2022-6-6 13:59:32 | 显示全部楼层
谢谢分享
举报

点赞 评论 使用道具

329197750
CC
| 发表于 2022-6-6 14:31:26 | 显示全部楼层
有时间限制吗
举报

点赞 评论 使用道具

wf_1013
DDD
| 发表于 2022-6-6 14:40:19 | 显示全部楼层
谢谢分享
举报

点赞 评论 使用道具

daerbushen
DD
| 发表于 2022-6-6 15:39:04 | 显示全部楼层
靠,不是源码,被坑了,不值
举报

点赞 评论 使用道具

EA-远方
D
| 发表于 2022-6-6 15:40:23 | 显示全部楼层
感谢分享,
举报

点赞 评论 使用道具

mic
DD
| 发表于 2022-6-6 15:42:59 | 显示全部楼层
谢谢分享
举报

点赞 评论 使用道具

时光微醺
DD
| 发表于 2022-6-6 22:28:11 | 显示全部楼层
感谢分享
举报

点赞 评论 使用道具

qin324
DDD
| 发表于 2022-6-6 22:50:04 | 显示全部楼层
谢谢分享
举报

点赞 评论 使用道具

inka
DD
| 发表于 2022-6-7 17:43:55 | 显示全部楼层
daerbushen 发表于 2022-6-6 15:39
靠,不是源码,被坑了,不值

人家本来就没说是源码啊
举报

点赞 评论 使用道具

wuguorong
DD
| 发表于 2022-6-8 10:01:02 | 显示全部楼层
有时间限制吗
举报

点赞 评论 使用道具

abdul
DD
| 发表于 2022-6-8 10:32:06 来自手机 | 显示全部楼层
感谢分享!
举报

点赞 评论 使用道具

daerbushen
DD
| 发表于 2022-6-8 14:46:20 | 显示全部楼层
inka 发表于 2022-6-7 17:43
人家本来就没说是源码啊

你懂啥,最开始帖子类型是源码,后来他自己改成无限制了
举报

点赞 评论 使用道具

紫竹青荷
CC
| 发表于 2022-6-8 15:25:10 | 显示全部楼层
感谢楼主分享
举报

点赞 评论 使用道具

静观明
未及格
| 发表于 2022-6-8 17:24:39 | 显示全部楼层
感谢楼主分享
举报

点赞 评论 使用道具

pbdominator
D
| 发表于 2022-6-9 22:14:54 | 显示全部楼层
Thank you!
举报

点赞 评论 使用道具

jacky1976
DD
| 发表于 2022-6-10 00:35:36 | 显示全部楼层
感谢楼主分享
举报

点赞 评论 使用道具

1234下一页
发新帖
EA交易
您需要登录后才可以评论 登录 | 立即注册

 简体中文国旗 简体中文
 繁體中文国旗 繁體中文
 English国旗 English(英语)
 日本語国旗 日本語(日语)
 Deutsch国旗 Deutsch(德语)
 Русский язык国旗 Русский язык(俄语)
 بالعربية国旗 بالعربية(阿拉伯语)
 Türkçe国旗 Türkçe(土耳其语)
 Português国旗 Português(葡萄牙语)
 ภาษาไทย国旗 ภาษาไทย(泰国语)
 한어国旗 한어(朝鲜语/韩语)
 Français国旗 Français(法语)
翻译