【Galaxy 5 EA(有MT4/MT5两个版本)】多币种机器人

| 发表于 2024-1-23 01:03:14 | 显示全部楼层 |复制链接
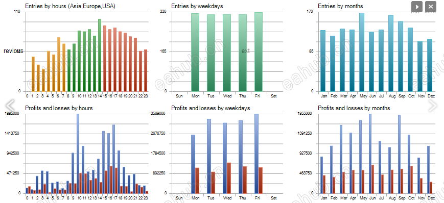
111.png
Galaxy 5 EA is a multi-currency trading robot for MT5 and MT4, which, as always on our website, can be downloaded absolutely free. The EA is interesting in terms of impressive profits, which are accompanied by a small drawdown, making it a relatively safe automated trading tool. Does not use dangerous trading methods such as martingale, grid and so on. It works in the style of day trading based only on technical analysis.Сharacteristics of the Galaxy 5 EA
Official website: mql5.com
Platform: Metatrader5
EA version: 1.0
Currency pairs: NZDCAD, EURCAD, USDCHF, AUDUSD, CADJPY, EURCHF, EURJPY и GBPNZD
Trading Time: Default 1:00 - 23:00 GMT (can be changed in the settings)
Timeframe: H1
Minimum account balance: $500 (or 500 USD cents)

According to the developer's assurance, the Expert Advisor uses a super modern system with support and resistance, trend and volume indicators in its analysis. This allows it to trade smartly and safely, without exposing your balance to high risk. The EA does not use high risk money management techniques such as Martingale, grid and etc. Even scalping is bypassed by this Expert Advisor. Therefore, you may think that the Expert Advisor trades rarely, which is indeed the case.
The Expert Advisor is multi-currency and simultaneously analyzes and uses 8 currency pairs (NZDCAD, EURCAD, USDCHF, AUDUSD, CADJPY, EURCHF, EURJPY and GBPNZD), so you only need to install it on one chart NZDCAD H1, but all pairs specified in the settings will be used in trading.

Galaxy 5 can trade either fixed lot or using Auto lot, which will be calculated proportionally to your account balance, which will definitely affect higher profits in trading.
One of the innovative features of this tool is the FTMO Randomizer. It introduces a random delay into the trade execution process, specifically designed to go undetected by the FTMO funding program. This may be of particular interest to traders participating in the FTMO Challenge or considering doing so.

The robot is based only on technical analysis and does not take into account fundamental factors (news, important events and other external factors) in the calculation, which can definitely affect its performance. Although in a later version the developer added a news filter, my version does not have it, so I would refuse to disable the adviser's operation during such periods manually or use IceFX NewsInfo for this.Backtests
I have performed 3 tests on historical tick data from the beginning of 2015. It is good that today MT5 allows you to perform such multi-currency tests. But, of course, I could have limited myself to one test, but I still made three tests to understand how significant it is to set the Galaxy EA on a currency pair other than NZDCAD.
222.png
2015-2023 NZDCAD H1galaxy-5-ea-backtest-2015-2023-nzdusd
2015-2023 EURCAD H1galaxy-5-ea-backtest-2015-2023-eurcad
2015-2023 EURCHF H1galaxy-5-ea-backtest-2015-2023-eurchf

As you can see, the results of the tests do not differ much from each other. This suggests that the EA will work correctly when installed on any of the eight pairs.
Statistical information for 8 yearsgalaxy-5-ea-statistical-information-for-8-years
333.png

Input Parameters
Each version of the Expert Advisor for MT4 and MT5 has its own Set file in the archive. And in principle with these settings the Expert Advisor works stably and there is no need to change anything there. But if there is still a desire, here is a complete list of input parameters of the Galaxy 5 EA:

For smooth operation of the Galaxy 5 Expert Advisor you will need a reliable VPS server and, of course, I recommend that you install it on a demo for at least a month before you move it to a real trading account.
In the archive Galaxy_5_EA.rar (891.6 KB)
filetype

Galaxy_5_EA(MT4MT5).rar

841.75 KB, 下载次数: 0, 下载积分: 活跃度 -5 售价: 5 H币  [记录]  [购买]

包括MT4/MT5两个版本

评分
  • 1
  • 2
  • 3
  • 4
  • 5
平均分:NAN    参与人数:0    我的评分:未评 下载时遇到问题?
如果有帮助,就支持一下我呗
举报

评论 使用道具

精彩评论5

dagdisiel
CCC
| 发表于 2024-1-23 13:29:23 | 显示全部楼层
not good ea
举报

点赞 评论 使用道具

17055135345
CC
| 发表于 2024-1-23 16:12:26 | 显示全部楼层
not good ea 2
举报

点赞 评论 使用道具

Jackiechiu
DDD
| 发表于 2024-1-23 20:11:30 | 显示全部楼层
not good ea 3
举报

点赞 评论 使用道具

N1689
DD
| 发表于 2024-1-26 07:48:44 | 显示全部楼层
not good ea 4
举报

点赞 评论 使用道具

王先生
CC
| 发表于 4 天前 | 显示全部楼层
note good ea
举报

点赞 评论 使用道具

发新帖
EA交易
您需要登录后才可以评论 登录 | 立即注册

Fast跟单EA